Tiivistelmä
Tässä kirjoituksessa osoitan luotettaviin lähteisiin perustuen, että pyöräilykypärän kaikenlainen suosittelu on väestön kokonaisterveyden kannalta haitallista jos se johtaa siihen, että pyöräilyn määrä vähenee Suomessa enemmän kuin kaksi prosenttia. Käyttämäni lähteet ja niiden tulkinta on konservatiivista – on todennäköistä, että suosittelu muuttuu haitalliseksi jo paljon pienemmällä pyöräilyn vähentymisellä. Perustelen erilaisten tutkimusten ja havaintojen perusteella, että on vahva syy olettaa, että Suomessa pyöräily on selvästi vähentynyt enemmän kuin kaksi prosenttia, ja kypärän käytön suosittelu on siten suomalaisten terveyden kannalta haitallista. Tutkin myös turvavyöpakon vaikutusta samalla metodilla, ja totean sen olevan aina hyödyllinen ihmisten terveyden kannalta, ja siten se on selkeästi erilainen turvallisuusväline kuin pyöräilykypärä. Kirjoituksen lopussa tarkastelen sitä, millainen vaikutus kypärän käytön suosittelun lopettamisella voisi olla, ja miten se voitaisiin saada aikaan.
Johdanto
Pyöräilykypärän käyttö pyöräillessä on asia, josta vallitsee Suomessa varsin laaja konsensus. Käytännössä kaikki merkittävät mediat, poliitikot, puolueet ja viranomaiset kannattavat sitä, että pyöräilykypärän käyttöä suositellaan suomalaisille. Tästä syystä otsikossa esitetty kysymys saattaa kuulostaa järjettömältä. Kuitenkin pyöräilykypärän suosittelua – kuten mitä tahansa muutakin turvallisuustointa – voidaan (ja kannattaa) arvioida varsin yksinkertaisella kysymyksellä: ylittävätkö toimesta saatavat hyödyt siitä syntyvät haitat. Kypärän suosittelusta syntyvä hyöty ovat liikenneonnettomuuksissa pyöräilijöille syntyvien vammojen sekä kuolintapausten väheneminen; ja siitä syntyvä oleellinen haitta on pyöräilyn määrän väheneminen, mikä tarkoittaa liikunnan määrän vähenemistä, josta seuraa monenlaisten eri tautien määrän lisääntyminen sekä niistä johtuvat vammautumiset ja kuolonuhrit. Toki pyöräilyn vähenemisestä seuraa myös monia muita haittoja, ja toisaalta osa pyöräilystä korvaantuu esimerkiksi kävelyllä, jolloin terveyshaittoja ei käytännössä synny näiden matkojen osalta. Näiden tekijöiden merkitys on kuitenkin niin marginaalinen kokonaiskuvassa, että ne voi jättää huomiotta.
Arvioin tässä kirjoituksessa kypärän käytön edistämistä yleisesti, eli analyysini kattaa kaikki kypärän käyttön lisäämiseen tähtäävät toimet erilaisista pelottelukampanjoista aina sanktioituun kypäräpakkoon saakka. Käytän tekstissä termejä “valistus” ja “edistämistoimi” tarkoittaen kaikkia näitä toimia, myös kypäräpakkoa. Näitä toimia on mielestäni käsiteltävä yhdessä, sillä niiden vaikutusmekanismi on aina samanlainen: tarkoitus on saada ihminen pelkäämään, että hänelle tapahtuu jotain pahaa jos hän pyöräilee ilman kypärää. Sanktioidun kypäräpakon seurauksena ihmiset pelkäävät sakkoja, ja (onnistuneen) pelottelukampanjan seurauksena he pelkäävät kuolemaa tai loukkaantumista. Pyöräily ei toki ole merkittävän paljon vaarallisempaa kuin esimerkiksi kävely, mutta jotta valistuskampanja saisi ihmiset käyttämään turvallisuusvälinettä, on sen vakuutettava heidät siitä, että ilman tämän välineen käyttöä he ovat vaarassa. Mitään muuta perustelua turvallisuusvälineen käytölle ei ole. Tästä syystä kypärävalistuksessa aina liioitellaan pyöräilyn vaarallisuutta, usein jopa koomisiin mittasuhteisiin saakka. Jostain syystä näiden kampanjoiden tekijät eivät huomioi (tai eivät välitä siitä), että tämä pelottelu vähentää pyöräilyn määrää.
Yksinkertainen malli kypärän käytön suosittelun seurauksista
Yksinkertaisessa mallissa ihmisten vakuuttaminen sakon tai onnettomuuden vaarasta johtaa siihen, että osa pyörämatkoista aletaan pyöräillä kypärä päässä – näitä pyöräilykilometrejä merkittäköön tästä eteenpäin muuttujalla x. Loput matkoista kuljetaan pyörän sijaan muilla välineillä – näiden kilometrien määrä on siis 1-x.
(Käytän tässä kirjoituksessa tilastotieteessä yleistä tapaa merkitä todennäköisyyksiä ja osuuksia reaaliluvulla välillä 0 ja 1. Tällöin 1 tarkoittaa 100%:n, ja esimerkisi 0,62 tarkoittaa 62%:n todennäköisyyttä tai osuutta ryhmästä.)
Tässä analyysissä otetaan huomioon siis vain ne ihmiset, jotka saadaan vakuutettua vaarasta. Osa ihmisistä pyöräilee Suomessa ilman kypärää valistuksesta huolimatta (ja Australiassa sakon uhasta huolimatta) mutta heitä tämä analyysi ei suoranaisesti koske. Toki tuloksesta riippuen voidaan todeta, että tämä valistuksen/sakkouhan epäonnistuminen on näiden ihmisten kohdalla joko hyvä tai huono asia, mutta itse analyysin tulokseen sillä ei ole vaikutusta. Samoin myös ne ihmiset, jotka useimmiten pyöräilevät kypärä päässä mutta tarvittaessa lähtevät pyöräilemään ilman kypärää (esim. jos tukan täytyy olla hyvin) ovat tämän analyysin ulkopuolella: heitä ei ole saatu vakuutettua, eikä kypärävalistus mainittavasti vähennä heidän pyöräilyään. Toisaalta niiden ihmisten kohdalla, jotka on saatu vakuutettua vaarasta, pyöräilyn määrä voi valistuksen seurauksena vähentyä loppumatta kokonaan. He saattavat alkaa pyöräillä kypärä päässä, mutta osan matkoista (esim. jos tukan täytyy olla hyvin) he tekevät muilla liikennevälineillä.
Tästä seuraa se, että niiden matkojen kohdalla, jotka nyt aletaan pyöräillä kypärä päässä, saadaan väestötasolla terveyshyötyä, kun ihmiset saavat onnettomuuksissa lievempiä pään alueen vammoja, tai mahdollisesti välttyvät kuolemalta. Merkitään tätä hyötyä per pyöräilty kilometri symbolilla h, jolloin kokonaisterveyshyöty on hx.
Niiden matkojen kohdalla, jotka nyt kuljetaan pyörän sijaan esimerkiksi henkilöautolla, syntyy vähentyneestä liikunnasta johtuvaa terveyshaittaa. Pyöräilystä syntyvän terveyshyödyn suhdetta pyöräilyonnettomuuksista syntyviin terveyshaittoihin on arvioitu useissa tutkimuksissa:
| Tekijä, vuosi | Tutkimuksen alue | Tutkimuksen sisältö | Terveyshyödyn suhde terveyshaittaan |
| Hillman, 1992 | Iso-Britannia | Parantuneen terveydentilan aiheuttaman elinvuosien lisäys suhteessa onnettomuuksissa menetettyihin elinvuosiin | 20:1 |
| Otero, Nieuwenhuijsen, Rojas-Rueda, 2018 | Eurooppa | Eurooppalaisilla kaupunkipyörillä tehtyjen matkojen terveysvaikutusten vertailu liikenneonnettomuuksien ja ilmansaasteiden aiheuttamiin terveyshaittoihin. | 19:1 |
| de Hartog, Boogaard, Nijland and Hoek, 2010 | Alankomaat | Analyysi auton polkupyörään vaihtamisen vaikutuksesta ihmisten eliniänodotteeseen Alankomaissa.
Vertailukohtana liikunnasta saadut lisäelinvuodet verrattuna onnettomuuksien ja ilmansaasteiden aiheuttamaan elinviuosien menetykseen |
35:1 |
| Woodcock et al, 2009 | Lontoo, Delhi | Erilaisten kestävien kulkumuotoskenaarioiden analyysi, joist yhdessä (“increased active travel”) jalankulun määrä tuplaantui ja pyöräilyn määrä kahdeksankertaistui, autoilun vähetessä saman verran. Skenaarion vaikutusta kuolleisuuteen ja haittatasapainotettuihin elinvuosiin (Disability adjusted life years, DALY) tutkittiin liikunnan lisääntymisen, onnettomuuksien ja ilmansaasteiden osalta. | Kuolleisuuden osalta
= 13:1 DALY:n osalta = 15:1 |
| Rabl and de Nazelle, 2011 | Useita EU-alueen kaupunkeja | Tutkimuksen aiheena oli vaikutus, joka syntyy viiden kilometrin autolla tehdyn työmatkan vaihdosta pyörällä tehtäväksi. Liikunnan tuottamien lisäelinvuosien vertailu onnettomuuksen ja ilmansaasteiden aiheuttamaan elinvuosien menetykseen. | 24:1 |
| Rojas-Rueda et al, 2011 | Barcelona | Barcelonan kaupunkipyöräjärjestelmän kokonaisterveysvaikutuksen arviointi. Lisääntyneen liikunnan tuottamien lisäelinvuosien vertailu onnettomuuksen ja ilmansaasteiden aiheuttamaan elinvuosien menetykseen. | 77:1 |
Hillmanin tutkimus on näistä kaikkein eniten viitattu, joten otamme sen tämän analyysin pohjaksi. Sen mukaan pyöräilyn lopettamisesta seuraava terveyshaitta on noin 20-kertainen verrattuna hyötyyn, joka syntyy sen seurauksena vältettävistä onnettomuuksista. Tämä tutkimus on tehty Isossa-Britanniassa, jossa pyöräily on selkeästi vaarallisempaa kuin Suomessa, ja jossa suurempi osa pyöräilykilometreistä ovat korkean nopeuden urheilupyöräilyä kuin Suomessa. Vastaavassa Suomessa tehdyssä tutkimuksessa suhdeluku olisi siis todennäköisesti merkittävästi suurempi – lähempänä Barcelonan tulosta. Tälläistä tutkimusta ei kuitenkaan ole tehty, joten tyydymme Ison-Britannian tulokseen.
Tätä lukua ei kuitenkaan voi käyttää sellaisenaan: analyysiä varten tarvitsemme pyöräilyn terveyshyödyn suhteen muuttujaan h, ja tämä muuttuja kuvaa sitä lisäterveyshyötyä, joka saadaan kypärää käyttämällä. Kypärä vähentää ainoastaan päähän kohdistuneita vammoja, ja niistäkin vain osan. Muiden ruumiinosien vammoihin kypärällä ei ole vaikutusta, ja pyörällä liikkuva ihminen altistuu niille kypärän käytöstä huolimatta. Hillmanin tuloksessa on otettu huomioon myös nämä muut vammat, joten se on suhteutettava pyöräilykypärän tehokkuuteen vammojen estäjänä.
Onnettomuustutkintainstituutti arvioi joka vuosi, kuinka suuri osuus tieliikenneonnettomuuksissa kuolleista pyöräilijöistä olisi voinut selvitä hengissä kypärää käyttämällä. Liikenneturvan tekemässä selvityksessä OTI:n datasta vuosilta 2000-2012 arvioitiin 282 ilman kypärää pyörällä liikkuneen ihmisen kuolemaan johtanutta onnettomuutta, ja OTI:n arvion mukaan 117 heistä olisi voinut selvitä hengissä kypärän avulla (tämä luku on vahvasti liioiteltu – se sisältää kaikki tapaukset, joissa on edes teoreettinen mahdollisuus, että kypärällä olisi voinut olla jonkinasteinen vaikutus hengen pelastumiseen. Mutta käytämme sitä siitä huolimatta). Tästä saamme suhdeluvun, joka kuvaa kaikkien vammojen suhdetta kypärällä estettävissä oleviin vammoihin:
Kun jaammme Hillmanin määrittämässä suhdeluvussa ykkösen tällä tuloksella, saamme vertailuluvun, joka kertoo meille mikä on pyöräilyn terveyshyötyjen suhde niihin pyöräilyn terveyshaittoihin, jotka on vältettävissä kypärää käyttämällä:
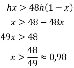
Tästä voimme päätellä, että kypärän suosittelusta syntyvä kokonaisterveyshaitta per kuljettu kilometri on -48h(1-x):
Eli vastaus kysymykseemme on, että kypärän suosittelusta on kokonaisuudessa terveyshyötyä (hyödyt ovat suuremmat kuin haitat) jos ja vain jos:
Eli jos kypärävalistuksen seurauksena noin 98% matkoista aletaan pyöräillä kypärä päässä (tai vaihdetaan kävelyyn), ja vain runsas 2% matkoista tehdään pyörän sijaan henkilöautolla, niin ollaan terveyshyötyjen suhteen nollilla. Jotta kypärävalistuksesta olisi selkeästi hyötyä, niin x:n arvon pitäisi olla selvästi korkeampi kuin 0,98. Kääntäen, jos x:n arvo on selvästi pienempi kuin 0,98 (eli jos selvästi suurempi määrä kuin 2% pyörämatkoista korvataan autossa istumisella) niin kypärävalistuksesta on terveyshaittaa. Tällöin jokaista yhtä kypärän ansiosta onnettomuudessa hengissä selviytynyttä kohden enemmän kuin yksi ihminen kuolee sydän- ja verisuonitauteihin, paksusuolensyöpään tai johonkin muuhun liikkumattomuudesta johtuvaan sairauteen valistuskampanjan seurauksena.
Tulos on varsin selkeä: pyöräilyn terveyshyödyt ovat niin suuret verrattuna kypärällä vältettäviin haittoihin, että kypärän käytön edistämiseen tähtäävä toimi muuttuu haitalliseksi erittäin helposti. Jotta kypärän edistämistoimesta olisi hyötyä ihmisten terveyden kannalta – jotta se oikeasti pelastaisi ihmishenkiä – käytännössä jokaisen valistuksen kohteeksi joutuneen ihmisen pitäisi alkaa käyttää kypärää tai siirtyä esimerkiksi kävelyyn. Jos tämän sijaan edes pieni osa ihmisistä vähentää aktiivisen liikkumisen määrää, niin kypärävalistuksesta on haittaa terveydelle väestötasolla.
Vaikka ylläoleva analyysi on varsin yksinkertainen, niin myös esimerkiksi Sydneyn MacQuarie-yliopiston tilastotieteen professori Piet de Jongin tekemä paljon laajempi analyysi kypäräpakon vaikutuksesta väestön kokonaisterveyteen tuli samaan johtopäätökseen: siitä on selkeästi haittaa sellaisissa ympäristöissä joissa pyöräily on yleisesti ottaen turvallista, kuten Suomessa.
Onko tämän mallin tulos merkitsevä?
Entä tapahtuuko näin? Onko kypärävalistuksella tai -pakolla pyöräilyn määrää vähentävää vaikutusta? Tähän kysymykseen ei ole mahdollista saada tarkkaa vastausta – meillä ei ole kontrolliryhmää ihmisiä, jotka olisivat asuneet Suomessa viimeiset 30 vuotta, mutta eivät olisi millään tavoin joutuneet kypärävalistuksen vaikutuspiiriin. Voimme kuitenkin arvioida vaikutuksen kokoluokkaa kolmella eri tavalla:
-
- Tutkimalla tilastoja sellaisista maista, joissa on asetettu voimaan kypäräpakko. Vertaamalla pyöräilyn määriä ennen ja jälkeen kypäräpakon voimaantulon (ceteris paribus), saadaan suoraan x:n arvo.
-
- Vertaamalla kypärän käyttöastetta ja pyöräilyn kulkutapaosuutta eri maissa ja kaupungeissa, saamme jonkinlaisen arvion näiden tekijöiden korrelaatiosta. Jos useissa paikoissa sekä pyöräillään paljon ja myös käytetään yleisesti kypärää voimme todeta, ettei analyysimme tulos ole oikeansuuntainen.
- Arvioimalla ihmisten ja viranomaisten kommentteja kypärästä julkisissa medioissa ja muissa keskusteluissa. Tälläisten kommenttien yleisyys kertoo meille, että ainakin osa suomalaisista ajattelee, ettei ilman kypärää kuulu pyöräillä:
-
- Kokevatko ihmiset kypärän käytön hankalaksi?
-
- Kertovatko ihmiset jättävänsä matkan tekemättä pyörällä jos kypärää ei jostain syystä voi käyttää, tai kehottavatko he toisia tekemään näin?
-
- Aiheuttaako ilman kypärää pyöräily pelkoa tai huonoa omaatuntoa?
- Kertovatko viranomaiset ja mediat pyöräilyn olevan vaarallista ilman kypärää
-
1) Kypäräpakon voimaantulon tai valistuskampanjan vaikutus pyöräilymääriin
Kypäräpakon voimaantulon tai valistuskampanjan vaikutusta pyöräilyn suosioon on selvitetty useissa eri tutkimuksissa. Vaikka näiden luotettavuus vaihtelee, niin tulokset ovat hyvin samansuuntaisia kaikissa. Huomaa, että jotta vaikutus kokonaisterveyteen olisi merkittävästi positiivinen, olisi vaatimuksena että x>>0,98:
| Tekijä, vuosi | Tutkimuksen sisältö | Tulos, x:n arvo |
| Lemon, 2018 | Analyysi Australian kypäräpakkolain vaikutuksesta pyöräilymääriin New South Walesin osavaltiossa. | x=0,6 |
| Robinson, 2005 | Pyöräilymäärien ja pyöräilyonnettomuuksien määrien vertailu ennen Australian kypäräpakkolain voimaantuloa ja sen jälkeen. | x=0,64 |
| Carpenter & Stehr, 2011 | Tutkimus kypäräpakkolain vaikutuksesta alle 15-vuotiaiden kypärän käyttömäärään, kuolleisiin ja pyöräilyn määrään Yhdysvalloissa. | Noin 4% nuorista lopetti pyöräilyn kokonaan. Tutkimuksessa ei kerätty tietoa siitä, kuinka paljon pyöräilyä jatkaneet vähensivät pyöräilykilometrejä. |
| Clarke, 2012 | Tutkimus Uuden-Seelannin kypäräpakkolain vaikutuksesta erilaisiin tekijöihin, mm. pyöräilyn suosioon. | x=0,49 – 0,6 |
| Larsen 2013 | Meta-analyysi kypäräpakkolakien vaikutuksesta erilaisiin tekijöihin, mm. pyöräilyn suosioon. | x=0,87 |
| Jensen & Hummer, 2002 | Selvitys liikenneturvallisuuden edistämiseksi tehdyn valistustyön vaikutuksista lasten liikkumiseen Tanskassa 1985-2000. | x=0,7 |
| Rissel & Wen 2011 | Kyselytutkimus siitä, miten pakollisen kypärälain poistaminen vaikuttaisi pyöräilyn määrään Sydneyssä. | 23 % kertoivat, että pyöräilisivät
enemmän ilman kypäräpakkoa. 48 % kertoivat, etteivät ajaisi koskaan ilman kypärää. |
Kypärävalistuksen kannattajat useimmiten korostavat sitä, että joidenkin näiden tutkimusten tilastollinen merkitsevyys on alhainen, mikä onkin totta. Mutta toisaalta voidaan miettiä, kenelle todistustaakka tässä tilanteessa kuuluu: kypärävalistus on kannattavaa vain silloin, kun sen negatiivinen vaikutus pyöräilyn suosioon on lähes olematon – eikö ensin pitäisi todistaa että asia on näin, ja vasta sen jälkeen lähteä tekemään kypärävalistusta? Vaikka tähän asti tehty tutkimustyö onkin pienimuotoista, kaikkien tutkimusten tulokset ovat kuitenkin samansuuntaisia, ja ne kaikki antavat syyn olettaa, ettei kypärävalistusta kannattaisi missään tapauksessa tehdä.
2) Maavertailu
Eräs osoitus kypärän negatiivisesta vaikutuksesta pyöräilymääriin on se, ettei maailmassa ole ainuttakaan paikkaa jossa sekä pyöräiltäisiin paljon ja kypärän käyttöaste olisi korkea. Esimerkiksi Alankomaissa – jossa pyöräillään enemmän kuin missään muussa maassa maailmassa – kypärän käyttöaste tavanomaisessa pyöräliikenteessä on käytännössä nolla. Kypärää käyttävät vain turistit ja urheilupyöräilijät.
Kulkutapaosuuksista ja kypärän käyttöasteista on vaikea saada luotettavaa ja vertailukelpoista tietoa, joten alla oleviin tietoihin on suhtauduttava varauksella. Tästä huolimatta Euroopan eri kaupunkien vertailu näiden tekijöiden suhteen tuottaa aika selkeän tuloksen:
Lähteet:
Tukholman kulkutapaosuus ja käyttöaste
Helsingin kulkutapaosuus ja käyttöaste
Malmön kulkutapaosuus ja käyttöaste
Kööpenhaminan kulkutapaosuus ja käyttöaste
Kypäräkeskustelussa kuulee silloin tällöin väitteen, että kypärävalistusta voidaan tehdä siten, ettei se vähennä pyöräilyn suosiota. Tälläisen väitteen esittäjän pitäisi pystyä myös osoittamaan, että tämä on mahdollista. Se ei nimittäin ole koskaan onnistunut missään.
Kannattaa myös huomata, että kypärävalistus voi olla haitallista suomalaisten terveydelle vaikka yhä kypärän käyttöaste ja pyöräilyn määrä nousisivat samaan aikaan. Kysymys on siitä, että ilman kypärävalistusta pyöräilyn suosio voisi olla Suomessa paljon nykyistä korkeampi – terveyshaitta syntyy tästä piiloon jäävästä erosta. On siis väärin väittää, että kypärän käyttöasteen ja pyöräilyn määrän samanaikainen nousu olisi osoitus siitä, ettei kypärävalistus vaikuttaisi pyöräilyn määrään. Kun lähdetään pohjalta kaikki tiet vievät ylöspäin, mutta vain osa voi viedä huipulle asti.

3) Miten kypärästä puhutaan Suomessa
Alla on muutama internetistä löytynyt kommentti kypärän käytöstä. Lukija voi itse arvioida, miten kypärävalistus on vaikuttanut näiden kommenttien kirjoittajien pyörällä liikkumisen määrään, ja miten tälläinen ilmapiiri vaikuttaa suomalaisten liikkumiseen yleisesti.
Puhuttaessa ihmisten asenteista kypärää ja pyöräilyä kohtaan kypärävalistuksen kannattajat usein viittaavat Liikenneturvan vuonna 2017 tekemään kyselyyn, jossa enemmistö vastaajista kertoi, ettei laissa oleva suositus pyöräilykypärän käyttöön vaikuta heidän pyöräilyynsä. Tämä todennäköisesti onkin totta – kypäräsäännös yksinään ei juurikaan vaikuta ihmisten asenteeseen pyöräilyä kohtaan.
Kyse on paljon laajemmasta asiasta: Suomessa on viimeiset 30 vuotta tehty valistustyötä, jossa pyöräily ilman kypärää on leimattu vaaralliseksi aktiviteetiksi, ja se on muokannut ihmisten asenteita merkittävästi. Tästä syystä kypäräsuosituksen poistaminen laista tuskin vaikuttaa ihmisten kypäränkäyttöön juuri ollenkaan, kuten mainittu selvityskin osoittaa. Jos haluamme lisätä suomalaisten pyöräilyä, ei kypäräsuosituksen poisto riitä – kypärävalistus on lopetettava kokonaan.
Puhuttaessa kypärävalistuksen tai -pakon vaikutuksesta, kannattaa kyselytutkimuksiin ylipäätään suhtautua suurella varauksella. Kun halutaan selvittää miksi ihminen käyttäytyy niinkuin käyttäytyy, on kysymyksenasettelun oltava erityisen viekas. Jos ihmiseltä kysytään suoraan miten propaganda vaikuttaa häneen, ei vastaus kerro koko totuutta – ei edes silloin, kun hän yrittää vastata asiaan mahdollisimman todenmukaisesti. Jos Suomessa järjestettäisiin kyselytutkimus, jossa oikeasti yritettäisiin selvittää miten kypärävalistus ihmisiin vaikuttaa, ei tuossa kyselyssä välttämättä edes kysyttäisi paljoa kypärästä, vaan esimerkiksi siitä, mitä ihmiset ajattelevat pyöräilyn turvallisuudesta tai vaarallisuudesta.
Muuten, tuon mainitsemani Liikenneturvan kyselytutkimuksen tulos oli, että reilu viidesosa vastaajista kertoi vähentävänsä pyöräilyä jos kypärän käyttö tulee sakon uhalla pakolliseksi, eli x=0,8. Siis jopa kypärävalistuksen pää-äänenkannattajan tekemä kyselytutkimus, joka on viilattu antamaan asiasta mahdollisimman positiivinen mielikuva, tuottaa tuloksen joka ei tue kypärävalistuksen jatkamista.
Mutta turvavyötäkin on pakko käyttää!
Pyöräilykypärästä ei ole mahdollista käydä keskustelua ilman, että joku ottaa esiin joko turvavyön tai moottoripyöräkypärän käyttöpakon. Yleensä ihmiset eivät näe mitään eroa näiden turvavälineiden ja pyöräilykypärän välillä. Asia ei kuitenkaan ole näin – pyöräilykypärä on selkeästi erilainen turvaväline, ja tämä on osoitettavissa samantyyppisellä analyysillä, kuin käytimme aiemmin.
Analyysimme alkaa samalla tavalla: turvavyöpakon seuraksena osa ihmisistä (x) alkaa käyttää turvavyötä autoillessa, ja loput lopettavat autoilun turvavyöpakon takia. Käytän muuttujaa t kuvaamaan sitä terveyshyötyä, joka turvavyön käytöstä seuraa per ajettu kilometri:
Mutta entä mikä vaikutus on toisen ryhmän (1-x) kohdalla? He lopettavat autoilun (tai vähentävät sitä), ja alkavat liikkua muilla tavoin – heille siis syntyy myös terveyshyötyä, ja jopa enemmän kuin turvavyön käyttäjille. Kuvatkaamme kertoimella a heidän terveydentilansa parantumista per kuljettu kilometri:
Ei ole löydettävissä mitään arvoa muuttujalle x, jolla syntyisi kokonaisterveyshaittaa, tai edes nollatilannetta – turvavyöpakosta (ja moottoripyöräkypäräpakosta) on vain terveyshyötyä. Turvavyöpakko ei siis ole millään tavoin verrannollinen pyöräilykypäräpakkoon – edellisestä on aina hyötyä ihmisten terveydelle, kun jälkimmäisestä saattaa olla hyötyä tai haittaa.
Pitäisikö kypärän suosittelu sitten lopettaa?
Mitä tapahtuisi, jos kypärävalistus lopetettaisiin, ja sensijaan alettaisiin viestiä suomalaisille kypärättä pyöräilyn terveyshyödyistä? Voimme arvioida lopputulosta suomalaisten terveyden kannalta aiemmin käyttämistämme lähtötiedoista.
Tälläisen muutoksen jälkeen osa ihmisistä lopettaa kypärän käytön pyöräillessä, ja osa vaihtaa muusta aktiivisesta liikkumisesta kypärättömään pyöräilyyn. Merkitkäämme näitä kilometrejä muuttujalla p. Tästä muutoksesta syntynyt terveyshaitta on siis hp, sillä näiden kohdalla menetetään kypärän terveyshyöty.
Samaan aikaan kypärättä pyöräily lisääntyy myös autoilun kustannuksella – osa ihmisistä alkaa liikkua pyörällä auton sijaan, kun se on nyt sosiaalisesti hyväksyttyä myös ilman kypärää. Merkitkäämme näitä kilometrejä muuttujalla a. Näiden matkojen terveyshyöty on OTIn ja Hillmanin tulosten mukaan 20(2,4∙h)a.
Tämä muutos on siis kokonaisterveyden kannalta hyödyllinen jos:
Tämä siis tarkoittaa, että vaikka tämän muutoksen myötä suuri määrä pyöräilijöitä lopettaisi kypärän käytön, niin muutoksesta on silti hyötyä, jos autoilua samalla vaihdetaan kypärättömään pyöräilyyn 2 %:ia tuosta kilometrimäärästä. Eli jos esimerkiksi nykyiset pyöräilijät jättäisivät kypärävalistuksen loputtua kypärän kokonaan pois kaikilla kypärä päässä ajamillaan noin 600 miljoonalla vuosittaisella kilometrillä, niin tästä syntynyt terveyshaitta kompensoituisi sillä, että samalla henkilöautoilua vaihdettaisiin pyöräilyyn vain 11 miljoonan kilometrin verran. Tämä vastaa noin 0,02 %:ia kaikesta suomalaisten vuosittaisesta autoilusta.
Tämä suhde saattaa kuullostaa epätodellisen suurelta, mutta voimme arvioida sen todenperäisyyttä tarkastelemalla sitä, miten OTI:n arvio kypärällä mahdollisesti pelastettavissa olevista ihmishengistä vertautuu joihinkin autoliikenteestä syntyviin terveyshaittoihin:
Cambridgen yliopistossa valmistui vuonna 2015 tutkimus, jossa käytettiin kahdentoista vuoden mittaista EPIC-tutkimusaineistoa mm. liian vähäisen liikunnan terveyshaittojen analysointiin. Sen tulosten mukaan kaikista EU-alueella vuosittain tapahtuvista kuolemista noin 7,5% ovat liian vähäisestä liikunnasta johtuvia ennenaikaisia kuolemia – ne voitaisiin välttää jos kaikki liikkuisivat vähintään 20 minuuttia päivässä. Suomessa tämä tarkoittaa vajaata 4000 ihmishenkeä vuosittain. Katupöly taas tappaa Allergia- ja astmaliiton mukaan noin 1300 ihmistä vuosittain.
Jo nämä kaksi tekijää aiheuttavat yhteensä yli 700 kertaa enemmän kuolonuhreja vuosittain kuin pyöräily ilman kypärää – tähän verrattuna analyysissäni saatu noin 50:1 suhdeluku on varsin maltillinen. Kypärävalistuksen lopettaminen on siis selkeästi hyödyllistä jos sillä saadaan vähennettyä autoilun määrää edes muutaman prosentin kymmenyksen verran.
Miksi sitä sitten tehdään?
Jos asia tosiaan on siten, kuin tässä kirjoituksessa on esitetty, niin miksi kypärän käyttöä sitten edistetään niin aktiivisesti, ja vieläpä yhteiskunnan rahallisella tuella? Tähän ei ole selkeää vastausta, mutta valistuneita arvauksia voi tehdä. Suurin yksittäinen tekijä on se, että yksi yhdistys – Liikenneturva – on onnistunut saamaan käytännössä monopolin liikenneturvallisuustyöhön Suomessa. Sen rahoitus on määrätty laissa, ja sen takia asian muuttaminen vaatisi käytännössä Eduskunnan päätöksen. Aihe on sen verran herkkä, että poliitikolle sen ottaminen esiin on riskialtis teko. Aina kun jokin taho ottaa kypärävalistuksen lopettamisen esille julkisuudessa, niin yleisin kommentti median ja yleisön edustajilta on “En ymmärrä – miksi vastustat kypärän käyttöä?!”. Ero kypärävalistuksen vastustamisen ja kypärän käytön vastustamisen välillä on jostain syystä monelle vaikea asia ymmärtää, eikä tämän päivän politiikka ole suosiollinen aiheille, jotka on vaikea ymmärtää.
Lukiessasi Liikenneturvan argumentteja kypäränkäytön edistämisen puolesta, kannattaa kiinnittää huomiota siihen, mistä niissä puhutaan ja mistä niissä ei puhuta. Kypäränkäytön edistämistä perustellaan käytännössä yksinomaan kypärän tehokkuudella vammojen vähentäjänä onnettomuustilanteessa. Eli käytännössä argumentti on se, että koska siitä syntyy terveyshyöty (h ylläolevassa analyysissä), niin sen käyttöä kannattaa edistää. Liikunnan määrän vähenemisestä ja autoilun määrän lisääntymisestä syntyvää terveyshaittaa ei useimmiten edes mainita, tai ainakaan sen ei vaikutusta ei käsitellä. Vaikuttaa siltä, ettei Liikenneturvassa oteta tosissaan sitä, että sillä miten erilaisista liikennemuodoista julkisuudessa puhutaan on vaikutusta väestön terveydentilaan – ihan kuin kypärävalistuksesta syntyvää terveyshaittaa ei olisi olemassakaan.
Tämä johtunee pitkälti siitä, että Liikenneturvan ajatusmaailmassa liikenne vaikuttaa ihmisten terveyteen vain ja ainoastaan liikenneonnettomuuksien kautta. Tosiasiassa – kuten olemme nähneet – liikenne aiheuttaa vuosittain tuhansia kuolonuhreja jo liikunnan puutteen ja katupölyn kautta. Tämän lisäksi istuminen, rengasmelu, ilmastopäästöt ja renkaista irtoava mikromuovi aiheuttavat tuhansia kuolonuhreja lisää. Näihin verrattuna pari-kolmesataa kuolonuhria liikenneonnettomuuksissa on pieni määrä, ja maksimissaan seitsemän kypärättömän pyöräilyn uhria katoavat virhemarginaaliin.
Tässä suhteessa Liikenneturva ei ole yksin. Liikenneturvallisuuden edistämisjärjestöt ympäri maailmaa toimivat ikäänkuin irrallaan muusta yhteiskunnasta. Ne eivät keskustele jalankulun, pyöräilyn tai paremman kaupunkisuunnittelun puolesta toimivien järjestöjen tai kansanterveystieteilijöiden kanssa; liikenneturvallisuusseminaareihin kutsutaan lähinnä muita liikenneturvallisuustoimijoita ja autonvalmistajien edustajia. Autoliikenteen määrän tai nopeuden vähentäminen eivät kuulu tässä kuplassa hyväksyttyihin liikenneturvallisuuden edistämistoimiin, vaikka ne olisivat selvästi tehokkaimpia tapoja vähentää kuolonuhreja. Ne loistavat poissaolollaan myös Liikenneturvan antamissa lausunnoissa Tieliikennelain uudistuksesta.
Miten tilannetta sitten voitaisiin muuttaa? Liikenneturvan asenteen muuttaminen on vaikeaa, johtuen siitä, keitä sen hallituksessa istuu. Kuvaavaa on, että kun Liikenneturvan tutkimuspäällikkö arvioi kypärävalistuksen tulevaisuutta (s.14), ei sen lopettaminen ole edes vaihtoehto. Tässä blogissa on jo aiemmin kirjoitettu vaihtoehdoista tilanteen parantamiseksi, mutta ainakaan tällä hetkellä valtionhallinnosta tai Eduskunnasta ei löydy poliittista tahtoa niiden toteuttamiseen. Ehkäpä ensi vaalikaudella jo löytyisi?























Valtakunnallisen henkilöliikennetutkimuksen mukaan pyöräilysuoritteen ja -matkojen määrä on Suomessa vähentynyt selvästi enemmän kuin 2%.
Vuonna 2016 suorite oli vähentynyt 11% vuosien 2004-2005 tasosta ja 20% vuosien 1998-1999 tasosta.
Matkojen määrä oli vähentynyt 18,5% vuosien 2004-2005 tasosta ja 29% vuosien 1998-1999 tasosta.
Pyöräilykypärän käyttösäännös tuli voimaan 2003. Kypäräkampanjointi on toki alkanut jo aiemmin.
Toisinaan joku vaatii ”todisteita” siitä, että pelottelu, moralisointi ja vaatimus käyttää kypärää vähentävät pyöräilyä siitä, mitä se voisi olla ilman pelottelua, moralisointia ja vaatimusta käyttää kypärää. Tämä on vähän sama kuin vaadittaisiin todisteita siitä, että maapallo ei ole litteä. Jos johonkin aktiviteettiin tavalla tai toisella asetetaan lisää kynnyksiä, on selvää että pienempi määrä ihmisiä osallistuu tuohon aktiviteettiin. Pyöräily ei ole tästä mikään poikkeus.
http://www.kaupunkifillari.fi/wp-content/uploads/2018/06/pyoraliikenteen_kehitys_suomessa_2016.png